GROUPES CARACTERISTIQUES
(Santé - Les médicaments)



Objectifs :

Repérer la présence d'un groupe caractéristique dans une formule développée.




1. Qu'est ce qu'un groupe caractéristique ?

Lorsqu'on compare des molécules qui possédent le même comportement chimique, on s'apperçoit qu'elles contiennent toutes un groupe d'atomes disposés de la même manière. Facilement repérable par la présence d'atome d'oxygène, ou d'azote, ce groupe est nommé : groupe caractéristique. Une molécule peut contenir plusieurs groupes caractéristiques lui donnant ainsi différents comportements chimique, ou bien renforçant un comportement existant.



Un groupe caractéristique est un ensemble d'atomes appartenant à une molécule.
Il est responsable des propriétés chimiques de cette molécule.



2. Exemple de groupes caractéristiques

Hydroxyle Carboxyle Ester Amine Amide


Exercice :

je recherche parmi les formules de médicaments suivants, le ou les groupes caractéristiques qu'elles contiennent.





Je peux m'aider des molécules en 3D

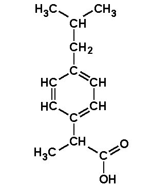
acide acétylsalicylique molécule 1 ibuprofène molécule 2
acétylleucine molécule 3 acide lactique molécule 4
acide salicylique molécule 5